首頁   >   課堂   >   投資課程   >   其他

票面利率 vs 到期殖利率 (YTM):YTM計算公式與含義一次搞懂

2026-04-09
迎新奖赏、开户
美國一旦減息,香港市場往往率先出現反應。作為與美元掛鉤的國際金融中心,無論是港股走勢、資金流向,還是樓市與按揭利率,都難以避開美國減息週期的影響。
踏入 2026 年,市場再次關注聯儲局會否延續減息步伐,以及「減息美國」政策將如何左右香港股市表現。本文將以簡單易明的方式,帶你了解美國減息是甚麼、聯儲局減息原因,以及美國減息歷史與週期,並深入分析美國減息對香港影響,協助投資者為未來部署作出更理性判斷。

目錄

● 到期殖利率(YTM)是什麼?● 到期/當期/贖回殖利率有何差異?● 到期殖利率和票面利率有何關係?● YTM怎麼算?計算公式說明與實例闡釋● 如何查詢債券的到期殖利率(YTM)?● 總結:資深投資者對YTM、殖利率、票面利率的終極理解● 還沒開始投資?先開戶操作更重要
在投資債券時,最常接觸到兩個關鍵利率指標:票面利率 (Coupon Rate) 與到期殖利率 (Yield to Maturity, YTM)。票面利率決定了投資者能定期獲得的固定利息,而到期殖利率則反映了投資者以當前市價買入債券,並持有至到期所能獲得的實際年化總回報。釐清票面利率 殖利率之間的根本差異,以便評估債券價值和制定投資策略。本文將深入解析YTM意思、其與相關殖利率的區別,解構YTM計算公式的內涵。

到期殖利率(YTM)是什麼?

YTM意思解析

到期殖利率 (Yield to Maturity, YTM) 是一個債券評估指標。它是指投資者以現行市場價格買入債券並持有至到期、且所有票息都按相同利率再投資時,可獲得的年化總回報率。它是最能全面反映債券整體回報的指標,將未來所有現金流(票息與本金)折現至目前價格後得出的內部報酬率,也代表持有至到期時的實際投資收益。

到期/當期/贖回殖利率有何差異?

當期殖利率

當期殖利率 (Current Yield) 則是一個相對簡單的速算指標。透過將年度票息除以債券的當前市場價值計算,準確地反映當前債券相較於市場上其他債券的獲利能力。
其計算公式為:
當前殖利率=年度票息支付總額/債券價格
當期殖利率的公式是基於債券的市場價值或購買價,因此會忽略了債券到期時的資本利得或損失(即買入價與面值之間的價差)。

贖回殖利率

贖回殖利率 (Yield to Call, YTC) 專用於具有「可贖回條款」(Callable) 的債券。如果投資者持有可贖回債券直至最早可贖回日,可以特定的贖回價格(Call Price)提前買回債券。
YTC計算的便是投資者持有債券直至「最早可贖回日」並被贖回時的預期年化回報率。對於溢價交易的可贖回債券,YTC比YTM更為保守,因為發行人有較高動機在利率走低時提前贖回債券。

快速總結:到期/當期/贖回殖利率差異比較


比較指標到期殖利率 (YTM)當期殖利率 (Current Yield)
結算日
債券到期日
不適用(只看市況)
考慮因素
買入價格、票息、市價、面值、到期日
票息、當前市場價格
核心回報
持有至到期的總回報
當前的利息回報率
適用債券
所有債券(尤其不可贖回債券)
所有債券(用於快速比較)

到期殖利率和票面利率有何關係?

票面利率是什麼?

票面利率 (Coupon Rate) 是債券發行時就已印在票面上的固定年化利率。它決定了債券發行人每年必須支付的利息金額,該金額是以債券的面值 (Face Value,通常為100或1,000) 為基礎計算的。
例如,一張面值$1,000、票面利率5%的債券,無論市價如何波動,持有人每年都將收到$50的固定利息。

到期殖利率及票面利率的差異如何影響投資選擇

票面利率與到期殖利率 (YTM) 之間的差異,反映了債券的當前市價是處於溢價、折價還是平價狀態:
● 溢價債券 (Premium Bond): 當債券市價 > 面值時 ->YTM < 票面利率。
由於投資者支付了更高的價格(溢價)來換取高於市場水平的固定票息,這筆溢價成本將在持有期間攤銷,從而拉低了實際的總回報 (YTM)。
● 折價債券 (Discount Bond): 當債券市價 < 面值時 -> YTM > 票面利率。
由於投資者以低於面值的價格(折價)買入,除了獲得票息之外,持有至到期日還能賺取市價回升至面值的資本利得,當中的利得推高了實際的總回報 (YTM)。
● 平價債券 (Par Bond): 當債券市價 = 面值時 ->YTM = 票面利率。
投資者在比較票面殖利率時,不要只追求高票面利率。
例子:一張票面利率高達8%的債券,如果以$110的高溢價交易,其YTM可能遠低於一張票面利率只4%、但以$90折價交易的債券。YTM才是衡量債券真實投資價值的實質標準。
迎新奖赏、开户

YTM怎麼算?計算公式說明與實例闡釋

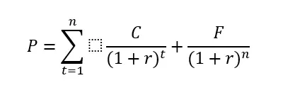
YTM計算公式是相對複雜的,它需要找出一個折現率 (r, 即YTM),使得債券未來所有現金流(每期利息C和最終本金F)的折現值總和,剛好等於當前的債券市價 (P)。
其概念公式如下:
YTM怎麼算?計算公式說明與實例闡釋
其中:
● P:當前市場價格
● C:每期的票息支付額(年利息=票面利率×面額,若每半年付,則每期為年利息的一半)
● FV:黏結劑的面值(通常為1000元)
● n:剩餘票息支付次數(低於前剩餘票數×支付次數)
● YTM:累計利率(年化)

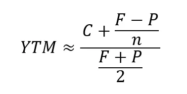
亦可以使用一個簡化的YTM計算公式(近似法)來快速估算:
YTM怎麼算?計算公式說明與實例闡釋
● C= 年度票息
● F= 債券面值
● P= 債券市價
● n = 剩餘年期

實例闡釋:
假設一張債券面值為$1,000,票面利率5%(即年息$50),剩餘10年到期,當前市價 (P) 為$920(折價)。
YTM怎麼算?計算公式說明與實例闡釋
此估算結果6.04%高於5%的票面利率,符合折價債券的特徵。

如何查詢債券的到期殖利率(YTM)?

對於一般投資者而言,並不需要自行手動計算複雜的YTM。在絕大多數證券交易平台(如漲樂全球通),當您查詢特定債券的報價時,系統都會根據即時的市場賣出價,自動計算並顯示其到期殖利率 (YTM) 或贖回殖利率 (YTC),方便比較不同債券的投資吸引力。

總結:資深投資者對YTM、殖利率、票面利率的終極理解

總括而言,票面利率 (Coupon Rate) 是一個靜態的、在債券發行時已鎖定的數值,它決定了投資者未來的「現金流收入」。而到期殖利率 (YTM) 則是一個動態的、隨市場價格變動的「預期回報率」,反映了在當前時機買入並持有至到期時的總體投資價值。

還沒開始投資?先開戶操作更重要

在評估票面利率殖利率時,可以將YTM視為決策的核心,因為它最真實地反映了在特定價格下,該筆投資的實際年化回報率。無論是投資債券還是股票,理解這些核心的金融指標都是至關重要的。在開始您的投資前,不妨先開設一個證券賬戶,逐步實踐您的理財規劃。漲樂全球通提供穩定可靠的交易體驗,覆蓋港股、美股、債券等,多市場行情、交易、基金、閒錢理財、智能投顧、保險等專業金融産品與服務,以及包括交流圈、直播、課堂等社交、投教的多元互動體驗。立即下載漲樂全球通App開戶操作,開展你的投資之旅。
免責聲明
本文章僅為投資教育目的,不構成投資建議。投資者據此操作,風險自擔。華泰金融控股(香港)有限公司力求資訊準確可靠,但不對其準確性、完整性和及時性做出保證,對因使用本文章引發的損失不承擔責任。
本資料內容及其資料並不構成任何華泰金融控股(香港)有限公司爲售賣任何證券、産品或投資作出招攬、提出要約、意見或推薦,或對任何證劵、産品或投資的收益或是否合適提供法律、稅務、會計、投資意見或服務。閣下應審慎評估及評定任何投資的效益及風險,如有疑問,閣下應就此諮詢專業顧問。准投資者應進行所須或適當的獨立調查,包括評估所涉及的投資風險。本資料僅爲香港特別行政區內的使用者而設,所提供的資訊不得于香港特別行政區以外分發,幷不應被視爲在任何的國家、地區或司法管轄區中(爲免生疑問,包括美國),對投資、産品或服務的邀請、要約、建議或招攬。非香港投資者有責任遵守其相關司法管轄區的所有適用的法律及法規。如有任何爭議,華泰金融控股(香港)有限公司保留最終解釋權和决定權。本資料內容並未經香港證券及期貨事務監察委員會審閱。
新人礼
最新優惠
迎新獎賞
邀友推廣
産品
港股
美股
課堂
投資課程
投資訪問
關於
公司簡介
聯繫我們
關注我們
hkinfo@htsc.com
漲樂全球通客服熱線
香港: ( 852 ) 3658 6288    內地: 400 8818 456
周一至周五9:00AM-18:00PM 周六、周日與公眾假期休息
漲樂全球通交易熱線
香港: ( 852 ) 3658 6138    内地: 400 1200 608